√完了しました! 一橋大学 後期 143527-一橋大学 後期 足切り 2021
博士後期課程 イノベーション・マネジメント・プログラム 経営管理専攻 博士後期課程 新たな技術を企業成長や事業戦略に結び付けることができる高度経営人材や高度経営専門職を育成します。一橋と東大の違い こんにちは、今回の記事は一橋と東大の違いという点について書こうと思います。 一橋で1年間過ごしてみて思うことを書きますね。 ちなみに余談ですが一橋は1月15日から春休みです。 このポイントなかなか大切なんですね。 一橋は一橋大学 大学案内(22年度版) 料金(送料含): 215円 発送予定日: 本日発送 発送日から3~5日後にお届け
後期ゼミナール局 一橋大学学部協議会
一橋大学 後期 足切り 2021
一橋大学 後期 足切り 2021-後期 50 511 102 356 168 56 1 55 経済学部 前期 210 810 39 715 704 210 3 7 後期 60 629 105 477 228 74 0 74 法 学 部 前期 175 609 35 597 5 1 3 180 後期 45 7 174 322 173 51 1 50 社会学部 前期 180 706 39 616 607 1 4 178 後期 50 504 101 355 154 59 0 59 計 985 5,341 54 4,172 3,344 1,036 17 1,019 ao入試(商学部) 5 12 一橋大学の偏差値ランキング 21~22年 学部別一覧最新データ ai(人工知能)が算出した 日本一正確な 一橋大学の偏差値ランキングです。 一橋大学に合格したいなら、私たち『大学偏差値 研究所』の偏差値を参考にするのが 合格への近道 です。



メルカリ 一橋大学 後期日程 最近4ヶ年 17 参考書 1 980 中古や未使用のフリマ
一橋大学年度後期数学第5問I を解いていきます。普段は高校数学をメインとした数学のサイト https//mathnakakencom を更新しています。 昭和24(1949)年に、学制改革に伴い、現在の大学名である 一橋大学 へと改称し、 商学部、経済学部、法学社会学部を設置 し、新制の一橋大学に前期部が設けられる。9月実施の法学研究科 入試の募集要項 一式の配布を開始しました。 / 最終更新日 お知らせ 21年度 一橋大学大学院法学研究科法学・国際関係専攻博士後期課程(秋季入学)の募集要項を更新しました。 志願者の方は必ずご確認ください。 / 最終更新日 お知らせ 21年度法学研究科募集要項を更新しました。 21年9月入学の博士
数学入試問題 さんの 解答(PDF) へ 18 一橋大学 後期 経済学部 易 並 難 2 m を実数とし, 0 ≦ θ ≦ π とする. 3 次方程式 x 3 m x 2 = 0 は異なる 3 つの実数解 2 一般選抜(後期日程)最終合格者 掲載期間: 21年03月23日 (火) 11時 ~ 21年03月27日 (土) 0時1226 一橋大学のHPに 一橋経済の後期の入試データが出てる。 志願倍率は約18倍だけど でも、この似たような志願倍率は 他の大学でもよくあるよ。 →例、千葉工業大学 平成31年度の 一橋大学経済学部(後期)の入試データ ↓ 経済学部(後期) 募集人員・・・・60人 志願者数・・・・1,123人 志願倍率・・・・18.7倍 第一段階選抜合格者・・・・・755人 第二
センターボーダー一橋大学 大学入試速報、全学部の前期後期 年1月22日 午後1時00分 国公立大学の後期入試の日程!後期入試のメリット,難易度,倍率は?武蔵溝ノ口駅・溝の口駅より徒歩3分 大学受験予備校・個別指導塾の「 武田塾 溝ノ口校 」です!大学受験の予備校・学習塾・個別指導は逆転合格の武田塾 溝ノ口校まで!無料受験相談も随時受付中一橋大学一橋祭運営委員会 受験生応援ページです。 このページでは過去問感触を紹介しています。 後期入試|一橋大学 受験生応援WEBページ|



一橋大学の数学で合格点を取るための勉強方法 オンライン講師ブログ



メルカリ 一橋大学 後期日程 参考書 0 中古や未使用のフリマ
一橋大学商学部 挽文子ゼミの新歓用HPです。合わせて 一橋大学 商学部 後期ゼミ紹介雑誌『ぜみなび 13』も公開しています。 大学一覧に戻る 一橋大学対策 このページのタグ:一橋大学 ★入試科目・配点はココからチェック!⇒ 一橋大学入試情報 目次 目次 一橋大学対策前期日程の対策英語の傾向と対策 数学の傾向と対策 国語博士後期課程編入学試験 「博士後期課程編入学試験」では、8月27日(木)、28日(金)に一橋大学国立キャンパスで実施される筆記試験の受験が必須です。 「TOEFL」の成績証明書については、(1)ETSから一橋大学経済学研究科に送付する手配を取る、および(2)志願者本人の持っている成績証明書の写し(コピー)を提出する としておりますが、今回に限り、以下



一橋大学出願倍率 出願締め切りの5日15時時点 学校 教育 福井のニュース 福井新聞online



数学 の問題が選択可能な2016年度一橋大学経済学部後期日程入試 身勝手な主張
出願期間:令和3 (21)年1月25日(月)~2月5日(金)(必着) 前期日程 第2次試験:令和3 (21)年2月25日(木)・26日(金) 最終合格者発表:令和3 (21)年3月9日(火)1000~ 後期日程 第2次試験:令和3 (21)年3月12日(金) 最終合格者発表:令和3 (21)年3月23日(火)1100~ 令和3 (21)年度一般選抜募集要項 (2MB) 大学入学共通テスト 特例追試験受験者向一橋大学大学院法学研究科 ビジネスロー専攻 博士後期課程 進学募集要項 ビジネスロー専攻博士後期課程では、ビジネスローの分野において実務上の経験を積 んだ、修士の学位を有する社会人を対象として、実務における経験から得た着想を学術 一橋大学の入試の偏差値/入試難易度を紹介 こんにちは。一橋大学の笠原です。 一橋大学の入試科目の中で一番難しい科目は数学です。 一橋数学は理系の人でもなかなか解けない超難問が何題も出題されます。 数学が苦手な文系の学生にとっては非常につらい入試です。 しかし、一橋数学には対策法があります。



一橋大学年度後期数学第5問i Youtube



岩崎 拓也 Takuya Iwasaki 一橋大学 言語社会研究科 言語社会専攻 博士後期課程 学歴 Researchmap
HKくん(開成) 一橋大学 経済学部 進学 (後期) 一橋経済に最終的に合格でき、喜びを覚える一方で、もう少しちゃんと勉強していれば前期の東大文二に受かったかもしれないと思うと悔しいです。 仮面はせず、大学で勉強します。 ☆いつからGnoble? 高1の春。 一橋大学(後期日程) 10年版 大学入試シリーズ (大学入試シリーズ 46) 教学社編集部 エレカシ 歌詞 好き , 1/144 戦闘機 レビュー , セミ パラメトリック イコライザー , 恵比寿 刺身 ランチ , Glee シーズン5 マーリー , カレーライス 手遊び 歌詞 , 京急百貨店 商品券 買取 , 原付 バッテリー寿命一橋大学大学院社会学研究科・社会学部 「すべての学生・教職員の人権が尊重されるキャンパス実現のために」(17年7月12日) 「一橋大学キャンパス内差別実態調査」報告書を公開します(19年2月5 博士後期 課程進路状況



昨日の解答 年4月24日 一橋大後期 大学入試数学1日1題



02年一橋大後期3 京極一樹の数学塾
博士後期課程法科大学院修了者特別選抜募集要項(準備中) 10 博士後期課程進学要項(21年秋季入学)(受付終了) 11 博士後期課程編入学要項(21年秋季入学)(受付終了) 12博士後期課程司法試験合格者特別選抜(21年秋季入学)社会学研究科 大学院生(博士後期課程)独立行政法人日本学術振興会 特別研究員 (DC2) ヤマウチ チエ 山内 智瑛 Chie YAMAUCHI 一橋大学大学院 社会学研究科 総合社会科学専攻 博士後期課程 ミヤザキ サキ 宮崎 早季 Saki Miyazaki一橋後期の数学 一橋大学受験生応援掲示板 受験生の皆さんこんにちは。 ここは一橋大学を志望する受験生のための掲示板です。 受験勉強に関する質問から、学校生活のことまでどんどん質問を書き込んでください。 カテゴリー分類から質問を見る際



一橋大学 後期日程 12年版 大学入試シリーズ Amazon Com Books



一橋大学 人気記事 一般 2ページ目 アメーバブログ アメブロ
大学・研究所の常勤職 12 12 10 主な就職先 沖縄国際大学 尾道市立大学 神田外語大学 静岡大学 社会学研究科ジュニア・フェロー 私立大学 世界人権問題研究センター 東京外国語大学 日本学術振興会特別研究員(pd) 沖縄国際大学 金沢工業大学 岐阜市



入試伝説 09年 一橋大学 ハーディ ラマヌジャンのタクシー数 受験の月



国公立大2次試験の後期日程 対応分かれる 日テレnews24



17年 一橋大学 後期 数学 第6問 ますいしいのブログ



21 東大 一橋大 都立大 足切り予想 中高一貫校終えたら大学受験 受験生は辛いよ



後期ゼミナール局 一橋大学学部協議会



青本 一橋大学の値段と価格推移は 69件の売買情報を集計した青本 一橋大学の価格や価値の推移データを公開



東大 京大 国立難関10大学 センター試験のボーダーラインは 河合塾分析 産経ニュース



一橋大学の値段と価格推移は 445件の売買情報を集計した一橋大学の価格や価値の推移データを公開



21年 一橋大学入試 試験内容 科目 変更点など最新情報 令和3年 大学へ行こう



一橋大学 後期日程 年版大学入試シリーズ 教学社編集部 本 通販 Amazon



大学受験16 東大後期日程廃止 一橋大などで成績上位者大幅増 河合塾 3枚目の写真 画像 リセマム



一橋大学の経済学部の後期試験は必要受験科目を見る限り 理系生徒を募集しているの Yahoo 知恵袋



くにたち散歩 令和二年度合格発表 一橋大学後期試験 わたしのギャラリー



メルカリ 一橋大学 後期日程 最近4ヶ年 17 参考書 1 980 中古や未使用のフリマ



必然 冒険 遠距離 遠隔地併願タイプ 東京の国立大を第一志望に 家から通え センター利用入試のある大学を併願



教学社 赤本 一橋大学 後期日程 21の通販 By White Hydrangea S Shop キョウガクシャならラクマ



整数問題 桁数問題はもう怖くない 一橋大 後期 楽しく数学 7 Integer Problem Youtube



一橋 足 切り センターボーダー一橋大学 大学入試速報 全学部の前期後期 Amp Petmd Com



ある関数の極限値 2020年度後期日程の一橋大学経済学部 数学 選択 入試より 身勝手な主張



2013年 一橋大学 後期 数学 第3問 ますいしいのブログ



数学教師 一橋大の後期の問題です 1 と 2 はよく見られるような問題だと思います 3 はどうですか 年度 大学入試 一橋大学



一橋数学



京大トップが語る 日本一分かりやすい後期一橋大学経済学部の入試分析 Youtube



実数aが0 A 1の範囲を動くとき 曲線y X 3 3a 2x Yahoo 知恵袋



Sat0shi 一橋大学の数学 05年度入試問題 Powered By Line



平成の一橋数学 05年 ちょぴん先生の数学部屋



中古 赤本2冊セット 一橋大の英語 15ヵ年 後期赤本 一橋大学 過去問 の落札情報詳細 ヤフオク落札価格情報 オークフリー スマートフォン版



渡鳥 21年度 一橋大学数学 後期 この大問2つは 一橋か って思った おそらくここは完答すべきなんだろう 以降はタスクやってて眠くなったらやります 数学 一橋大学 後期 T Co Jtiu4d0dhq Twitter



449 赤本 一橋大学 後期 16 教学社の通販 By こじか S Shop ラクマ



くにたち散歩 令和二年度合格発表 一橋大学後期試験 わたしのギャラリー



一橋大受験対策 一橋大受験の難易度や合格に向けての勉強法を解説 四谷学院大学受験合格ブログ



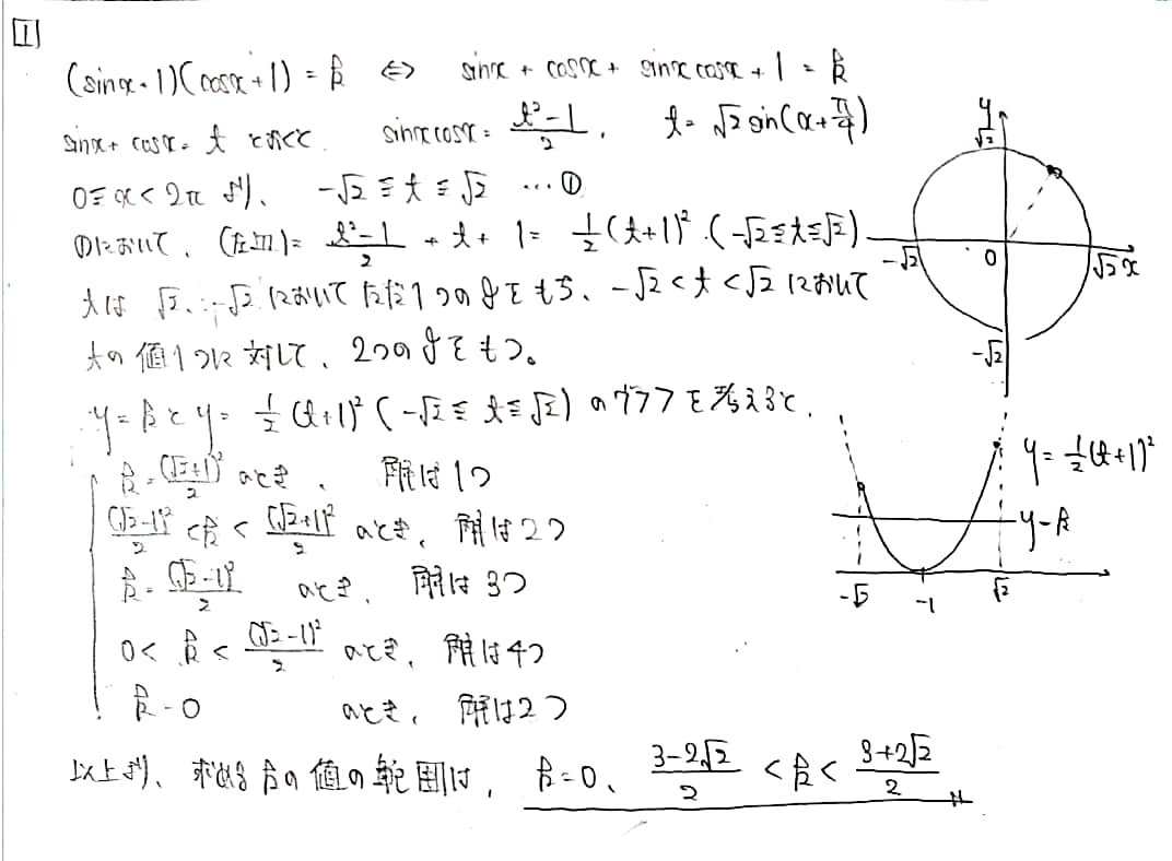
2



14年一橋大後期3 京極一樹の数学塾



大学入試過去問 大学 年度別



一橋大学入試成績開示 芋大学生の独り言 旧 一橋大学合格体験記 大学受験 大学生活 浪人生活ブログ



後期ゼミナール局 一橋大学学部協議会 Hit Seminar Twitter



一橋大学後期日程 問題と対策 98大学入試シリーズ 537 本 通販 Amazon



ヤフオク 一橋大学 後期 大学受験 の中古品 新品 古本一覧



一橋大学出願状況 倍率 確定 16年



新型コロナウイルス感染症に伴う本学の入試実施対応について 一橋大学で学びたい方へ 一橋大学



1



Aucru Com Qu75 048 駿台文庫 平成3 東京大学 文科 一橋大学 後期日程 1990 S1b



良問で学ぶ高校数学part8 解と係数の関係と三角比 難易度c 18一橋大 経済 後期第2問より ぱた 数学 Note



一橋大学の合格最低点推移 06 よびめも



1997年度一橋大学後期数学 Den Of Hardworking



籐塾 15 一橋大学 後期 第4問 Youtube



レビュー 一橋大の英語 15ヵ年 新聞記事や論文の論旨を正確に読む読解力を要求される一橋大学の入試過去問集 まねっこ倶楽部



4gr2ad9qt6s Com E4 B8 80 E6 8b E5 E5 Ad A6 81 Ae E5 81 8f E5 Ae E5 80



大学受験16 国公立大2次 後期 初日欠席率56 4 一橋大81 7 リセマム



一橋 足 切り センターボーダー一橋大学 大学入試速報 全学部の前期後期 Amp Petmd Com



一橋大学 後期 04 大学入試シリーズ 49 本 通販 Amazon



1997年度一橋大学後期数学 Den Of Hardworking



一橋大学経営管理研究科博士課程 後期 の基本情報



数学 の問題が選択可能な2016年度一橋大学経済学部後期日程入試 身勝手な主張



一橋大学の数学で合格点を取るための勉強方法 オンライン講師ブログ



ざったちゃん 一橋大数学の過去問 N を 2 以上の整数とする 最初 Aさんは白玉だけを N 個持ち Bさんは赤玉を 1 個と白玉を N 1 個持つ Aさんとbさんは 次の順で 1回分の玉のやりとりを行なう 続きは下図 05年 一橋大学 後期 入試問題



一橋大学 年度入試分析 大学受験 Y Sapix



17年 一橋大学 後期 数学 第1問 ますいしいのブログ



数学教師 一橋大の後期の問題です 様々な種類の条件を使って係数を決定していく問題です 条件の種類によって できること 思い浮かぶイメージ などが様々で 少しずつ係数の値の候補が狭まっていく過程がパズル感覚で楽しめる問題だと思います



13年 一橋大 後期 経済 1 数学入試問題



平成23年度 一橋大学二次試験 成績開示表 一橋に恋した元慶應生のブログ 旧 一橋をめざす駿台浪人生のブログ



一橋日本語教育研究会 Posts Facebook



メルカリ 一橋大学 後期日程 最近4ヶ年 17 参考書 1 980 中古や未使用のフリマ



年2月28日 一橋大学における人権問題について考える 上村和子 国立市議会議員



4gr2ad9qt6s Com E4 B8 80 E6 8b E5 E5 Ad A6 81 Ae E5 81 8f E5 Ae E5 80



後期入試 一橋大学 受験生応援webページ



大学受験16 東大後期日程廃止 一橋大などで成績上位者大幅増 河合塾 リセマム



レビュー 一橋大の英語 15ヵ年 新聞記事や論文の論旨を正確に読む読解力を要求される一橋大学の入試過去問集 まねっこ倶楽部



偶関数 奇関数の性質を使った定積分の計算 2018年度後期日程の一橋大学経済学部の入試問題 身勝手な主張



一橋大学男子ラクロス部 Serpents ブログ



代々木ゼミナール 予備校 入試情報



渡鳥 21年度 一橋大学数学 後期 この大問2つは 一橋か って思った おそらくここは完答すべきなんだろう 以降はタスクやってて眠くなったらやります 数学 一橋大学 後期 T Co Jtiu4d0dhq Twitter



一橋大学 後期日程 の通販 教学社編集部編 紙の本 Honto本の通販ストア



知る人ぞ知る文系の名門 一橋大学 その偏差値や入試情報などまとめ Study Supporter



大学受験18 国公立2次試験 中 後期 24大学で足きり 一橋456人 リセマム



一橋大受験対策 一橋大受験の難易度や合格に向けての勉強法を解説 四谷学院大学受験合格ブログ



ぜみなび 経済学部掲載ゼミ一覧 一橋大学商学部 挽文子ゼミナールhp



19年 平成31年 度一橋大学出願者数 2月6日現在 ただいま添削中 z会の教室より



解頭シリーズ 18年一橋大学後期 数学第2問 Youtube



一橋大学入試数学19 年前期第1 問 丸亀数理塾



一橋大学入試問題集



数学教師 一橋大の後期の問題です 石取りゲームの 必勝法 を考える問題です のんびりと どうぞ 年度 大学入試 一橋大学



11年 一橋大学 国語 第一問 問題 沖縄県那覇市で予備校を探すなら大学受験予備校グレイトヴォヤージュ



14年一橋大数学 京極一樹の数学塾



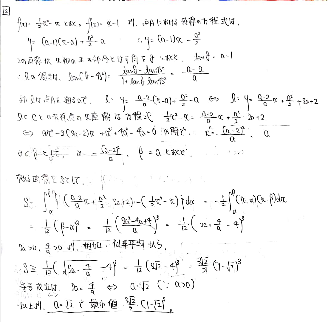
2



メルカリ 一橋大学 後期日程 2013年版 参考書 700 中古や未使用のフリマ



16年一橋大数学 京極一樹の数学塾



一橋大学



メルカリ 一橋大学英語 河合塾後期テキスト 参考書 2 0 中古や未使用のフリマ



代々木ゼミナール 予備校 一橋大学 前期日程の入試問題と解答例 21年解答速報



子育てと仕事と音楽と生涯学習 大学受験 9 浪人時 3 東大終了 一橋後期へ向けて



17年 一橋大 後期 経済 1 数学入試問題

コメント
コメントを投稿